Hints for SRM 596, D2, 500-Pointer (ColorfulRoad)
James S. Plank
Sun Nov 3 11:08:44 EST 2013
Problem Statement.
I'm sure that there are multiple ways to do this. Given how small the constraints are, and
the fact that the graph is acyclic, I'm
guessing that dynamic programming or topological sort will work. However, it's really easy
to turn the string into a weighted graph, and then use Dijkstra's algorithm to find the
shortest path from the first character to the last. It took me nine minutes to code it
from scratch, and again, it's great practice.
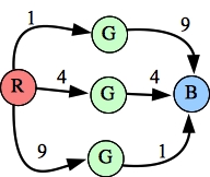
Below, I'll draw graphs for the first two examples. From that, you should be able to see how you
create a graph from a string, and then it is up to you to code up Dijkstra's algorithm.
Example 0: RGGGB
 |
Example 1: RGBRGBRGB
 |
Example 3: RBRRBGGGBBBBR
 |