CS494 Lecture Notes - Bloom Filters


Reference Material

Yes, Wikipedia. The drag about Wikipedia is that the pages change, so by the time that you read this, the page may no longer be any good. But as of now (February, 2016), it's pretty good.

One of our alums, Camille Crumpton, sent me this journal entry of how a Bloom Filter drastically helped the writer with performance of a program that generated leaderboards on the fly.

And another alum, Even Ezell, sent me this link, where the author uses Bloom filters to "efficiently synchronize hash graphs."

Dr. Emrich sent me this link about using Bloom Filters in biological research: https://www.ncbi.nlm.nih.gov/pmc/articles/PMC5467106/.


The Problem Solved By Bloom Filters

Bloom Filters are data structures that allow you to: The gotcha with Bloom Filters is that when the answer to the query is "yes", it can be wrong. "No" answers are always correct. The incorrect "yes" answers are probabilistic, and their probabilities can be quantified as a function of the number of elements in the set, the size of the Bloom Filter, and a parameter k, which is called "the number of hash functions." I've never really liked k. I've always thought, "Why do you need k hash functions? Why can't you use one really good hash function?" Well, as it turns out, one really good one will do, but only because you can turn the really good hash function into k hash functions.

The data structure of the Bloom Filter is a vector of m bits. When you start, they are all zero. When you want to insert an element into the Bloom Filter, you calculate k hash values of the element using k different hash functions. The hash values should be between 0 and m-1. Then, you set the bits corresponding to every hash value to one.

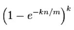
To query the Bloom Filter to see whether it contains the element, you again take the k hashes of the element. If all of the bits corresponding to these hashes are one, the answer is "yes." Otherwise, the answer is "no." It should be pretty clear that "no" answers are definitely correct, and "yes" answers can be wrong. The theoreticians have done the work to help you quantify how often you get incorrect "yes" answers. If there are n elements already inserted into the Bloom Filter, then the probability of an incorrect "yes" answer is:

So, if you know n, you can choose m and k so that they satisfy whatever your tolerance is for incorrectness, while allowing to you adjust for space (m) and time (k).


Who Cares?

Bloom Filters are surprisingly useful. The Wikipedia page lists applications, which are often caching applications, where the false positive only costs you performance, and not correctness. A neat one is the first one they list, from the web-caching company Akamai. Akamai noticed that roughly 75% of web downloads were only downloaded once. They decided that it would be advantageous to cache a web download the second time that it was downloaded, rather than the first. They used a Bloom Filter to figure it out: Because of the Bloom Filter, you can do the cache checking without having to store the contents, or even hashes of the contents.

Would you please explain that a little more?

Let's take some concrete values for examples. Suppose that we are Akamai, and our clients are doing 100,000,000 downloads. Of those 100,000,000 downloads, 80,000,000 of them are unique, and of those, 75,000,000 will only be downloaded once. The remaining 20,000,000 downloads will be duplicates of the other 5,000,000 downloads. Let's suppose we use a Bloom Filter with 800,000,000 bits. That's 100 MB for the Bloom Filter.

Using the equation above, if we set k to 7, then our probability for incorrect "yes" answers is 0.00819. That's the best k for these values of n and m.

So, we are commiting 100MB for the Bloom Filter. If we hashed the downloads to 8-byte hash values, and stored them in hash table with a load factor of 0.5, then we'd need 1.28GB for our hash table. Our savings using a Bloom filter is at least a factor of 10, and to get that savings, we need to understand that 0.8% of our "yes" answers will be wrong. Those are some powerful savings.


Do I Really Need k Hash Functions?

This question can be interpreted two ways. The first is "How are more hash functions better than one?" It seems like more hash functions fill up the table more quickly, and that is a bad thing. That is correct. However, the trade-off is that when the table isn't full, each additional hash function lowers the probability of a false positive.

Think about it this way -- suppose that the table is half full, and you want to look up an element. You have a 50% chance of getting a false positive with one hash function. When you add a second hash function, you only get a false positive if you have found a one bit with your first hash function (50%) and with your second hash function (another 50%). So your false positive probability is 25%. Add a third hash function, and that becomes 12.5%. Fourth = 6.25%. And so on. So, the equation above which relates k, m and n to the false positive rate embodies the tradeoff of filling the table faster versus being able to tolerate fuller tables with more hash functions. The second interpretation of this question is "But it's a pain to implement a whole bunch of hash functions. Can't I just use a really good hash function?" Yes, you can. If you have one really good hash function, then you can use it to create k hash values from a single piece of data, and that's what you need. You can do that in the following way -- add an extra byte to your data, and then if you need k hash values, you give that byte k different values, and use your hash function k times.

In the example program below, I use the MD5 hash function on the data. That is a hash function that returns a 16-byte hash value, and I only need four bytes because m is being held in an unsigned integer. So when I need k hash values, I do the following:


How about an Example?

Ok -- suppose our Bloom Filter is 16 bits. That's just two bytes. And suppose that we are using MD5 as our hash function. And suppose that we are going to store exactly four elements in our Bloom Filter. The math above says that we should choose k to be three, and our false positive rate (the number of incorrect "yes" answers) will be 0.147.

Our files are in f1.txt, f2.txt, f3.txt and f4.txt. They are each files containing 100 random names. Since m is 16, our hash function only needs to return values between 0 and 15. MD5 returns a 16-byte hash function, so we can simply use the first four bits as hash function 1, the next four bits as hash function 2, and the next four bits as hash function 3. Let's look at the hashes:

UNIX> openssl md5 f?.txt
MD5(f1.txt)= 29295e325b77f8f822522728e795c1a4
MD5(f2.txt)= bcf9342184102dbd2107b7ba3cd4250e
MD5(f3.txt)= 6559d5cb11a5ddab8573699ae360cb5a
MD5(f4.txt)= faa43b30a66d00ba9b534a030ea09f88
UNIX> 
Here are the hash values: So, when we insert the values into our hash table, it will look as follows:

f e d c b a 9 8 7 6 5 4 3 2 1 0
1 0 0 1 1 1 1 0 0 1 1 0 0 1 0 0
In other words: 10011110 01100100 or 0x9e64.

To test how well this works, I want to generate 100 random files, and see how many incorrect "yes" answers we get when we look up the files in the Bloom Filter. To do that, I've created one random file with 10,000 lines, and I use a shell script and sed to carve it up and test. The file is in f10000.txt. I use the (Bourne) shell script test-bloom-16.sh to create the 100 sets of three hashes, and put them into the file tmp.txt:

i=100                                   # "i" is the ending line to extract.
while [ $i -le 10000 ]; do
  b=`echo $i | awk '{ print $1-99 }'`   # Set the beginning line to extract.
  sed -n $b,$i"p" f10000.txt |          # Extract lines "b" to "i".
     openssl md5 |                      # Use openssl to calculate the MD5 hash.
     sed 's/(stdin)= \(...\).*/\1/'     # Use sed to extract the first three characters
  i=`echo $i | awk '{ print $1+100 }'`  # Increment i by 100
done

UNIX> sh test-bloom-16.sh > tmp.txt
UNIX> head tmp.txt
eab
0b8
b41
3b9
843
649
31c
28e
d6b
64b
UNIX> 
I can now use sed, grep and wc to count the false positives.
UNIX> sed 's/[2569abcf]/x/g' tmp.txt | grep xxx | wc
      12      12      48
UNIX> 
12 false positives -- close enough to 14% to me! All in two bytes -- that's nice.

A more robust test

I've written the program BF-tester.c to do some more robust testing. It's a nice example to show you: You compile and call the program as follows:
UNIX> gcc -o BF-tester BF-tester.c MOA.c -lcrypto
UNIX> BF-tester
usage: BF-Tester Seed Block_Size Reused_Blocks One_Off_Perc NEvents BF_Size(m) K Print(1|0)
UNIX> 
On my Macintosh, I had to specify an additional include directory:
UNIX> gcc -o BF-tester -I/opt/local/include BF-tester.c MOA.c -lcrypto
The program simulates the Akamai example. We want to cache blocks, but we only want to cache them when they are used the second time, not the first. So, whenever we see a block, we'll check the Bloom Filter for it first. If it's there, we'll check the cache, and if it's not in the cache, we'd insert it into the cache. If the block is not in the Bloom Filter, we insert it, and move on.

This program doesn't actually manage a cache -- it simply manages the Bloom Filter, reporting false positives along the way.

Our program has the following parameters:

I'll first talk about the random number generator. I'm using the "Mother Of All" random number generator, which I got from http://www.agner.org/random/. I put some wrappers around it, which are defined in MOA.h:

uint32_t MOA_Random_32();                    /* Returns a random 32-bit number */
uint64_t MOA_Random_64();                    /* Returns a random 64-bit number */
void     MOA_Random_128(uint64_t *x);        /* Returns a random 128-bit number */
uint32_t MOA_Random_W(int w, int zero_ok);   /* Returns a random w-bit number. (w <= 32)*/
void MOA_Fill_Random_Region (void *reg, int size);   /* reg should be aligned to 4 bytes, but
                                                        size can be anything. */
void     MOA_Seed(uint32_t seed);            /* Seed the RNG */

All straightforward. Is this better than the standard rand(), random() and rand48() of Unix? I'm guessing yes. I haven't done a thorough study of random number generators, but after a disaster using lrand48(), I won't use the Unix versions any more. If you want a nicer, C++ version of this, I have it implemented in a header-only library with some additional bells and whistles in http://web.eecs.utk.edu/~jplank/plank/classes/cs140/Notes/String/MOA.hpp.

The program is organized as follows. I allocate pointers to Reused_Blocks blocks of memory, and I initialize them to NULL. These are going to be the blocks that I repeat. Whenever I "reuse" a block, I choose a random number from 0 to Reused_Blocks-1 and look at the pointer. If it's NULL, then I create the block from random numbers. If it's not NULL, then I use the block that's there.

Each block consumes Block_Size+1 bytes -- you'll see why there's an extra byte below.

I also allocate one extra block of size Block_Size+1, and I'll use this this every time I create a new "One Off" block. When that happens, I'll fill this extra block randomly.

Whenever I generate a random block, and the Bloom Filter returns that it's already there, I have generated a false positive. If I reuse a block, and the Bloom filter returns that the block isn't there, then it's a false negative, which means I have a bug in my Bloom filter.

I count the false positives, the number of random blocks that I have generated (whether they are cached or not), and report the false postive rate.

All of that code is pretty straightforward, so I won't go over it here. I will go over how I use the MD5() function from the crypto library to generate all of the hashes, and how I do the bit arithmetic in the Bloom Filter.

The MD5() function takes a region of memory, its size, and a buffer of length MD5_DIGEST_LENGTH, which is 16. It calculates the hash and stores it in the buffer. I want to allow my tables to be pretty big, and I want to allow k to vary as well, so I am not going to assume that all k hashes can come from one MD5 hash. Instead, what I do is set the first byte of my block to zero, and use the MD5 hash of all block_size+1 bytes for the first 4 hash values, taking each as a 32-bit integer modulo BF_Size. I then set the first byte to one, and use the MD5 hash for the next 4 hash values, and so on. That way, k can be as large as 1024.

You can see the code below:

/* Call this procedure to set K hashes into hashes from the data in block.  The size of
   block is block_size (which includes the extra byte).  The first byte of the block is
   not data -- you get to use it when you need to calculate more than 4 hashes. */

void get_hashes_from_block(uint8_t *block, uint32_t *hashes, int K, int M, int block_size)
{
  uint8_t md5_hash[MD5_DIGEST_LENGTH];     // Buffer for the MD5 hash.
  int hc;                                  // Counter for the extra byte
  int sb_in_hash;                          // Starting byte for the next hash from the buffer.
  int i;

  hc = 0;
  sb_in_hash = MD5_DIGEST_LENGTH;
  for (i = 0; i < K; i++) {
    if (sb_in_hash >= MD5_DIGEST_LENGTH) {
      block[0] = hc;
      hc++;
      sb_in_hash = 0;
      MD5(block, block_size, md5_hash);   
    }
    memcpy(hashes+i, md5_hash+sb_in_hash, sizeof(int)); 
    hashes[i] %= M;                                  
    if (PRINT) printf(" %0*x", bfhexdigits, hashes[i]);
    sb_in_hash += sizeof(int);
  }
}

To look up hashes in the Bloom Filter, I have a procedure called are_hashes_set(). The Bloom Filter itself is stored as an array of unsigned bytes. Looking up a hash it a simple matter of finding the proper byte, and performing an AND with the proper bit:

int are_hashes_set(uint8_t *BF, unsigned int *hashes, int k)
{
  int i;
  int index;
  int shift;

  for (i = 0; i < k; i++) {
    index = hashes[i] / 8;  // Yes, I could use bit arithmetic, 
    shift = hashes[i] % 8;  // but a good compiler should do it for you.
    if ((BF[index] & (1 << shift)) == 0) return 0;
  }
  return 1;
}

Setting hashes is very similar, and is done in the procedure set_hashes().

void set_hashes(uint8_t *BF, unsigned int *hashes, int k)
{
  int i;
  int index;
  int shift;

  for (i = 0; i < k; i++) {
    index = hashes[i] / 8;
    shift = hashes[i] % 8;
    BF[index] |= (1 << shift);
  }
}

Let's explore a little. First, let's do a small example so we can see the table. Let's have the table size be 16. We'll have one block that we reuse. We'll generate 10 events, half of which are to new blocks and half of which are to the block that we reuse. Oh, and our blocks will be 1K (it really doesn't matter how big they are), and we'll have three hashes per block:

UNIX> BF-Tester 1 1024 1 50 10 16 3 1
NEW 9 0 e ADDED 10000000 01000010
NEW 0 f 7 ADDED 10000001 01000011
NEW 2 c 0 ADDED 10100001 01001011
OLD 0 f 7 FOUND 10100001 01001011
OLD 0 f 7 FOUND 10100001 01001011
NEW a f d ADDED 10100001 01101111
OLD 0 f 7 FOUND 10100001 01101111
NEW d f 9 FOUND 10100001 01101111
OLD 0 f 7 FOUND 10100001 01101111
N:          5.   False_positives:          1.   Rate:  0.200000
UNIX> 
All of this should be pretty straightforward. You can see the false positive was the block that hashed to "d f 9". You can see that all of those bits are in the Bloom Filter.

Let's try a more realistic example. The Wikipedia page says that if you set your Bloom Filter's size to 10 times the number of elements that it will hold, and you set k optimally, then your false positive rate will be less than one percent. Let's generate 100,000 events with a One-Off percentage of 75. Let's have the number of blocks that will end up being cached be 5,000. That means of our 100,000 events, we'll have roughly 75,000 unique blocks and 5,000 cached blocks. So our Bloom Filter will hold 80,000 elements, and its size should be 800,000 bits. That's roughly 100K for the Bloom Filter.

I've written a small program in findk.c that calculates k values using the equation above. This gives us a way to test whether theory will match practice:

UNIX> findk 
usage: findk n(elements) m(bits in table)
UNIX> findk 80000 800000
  1  0.0952
  2  0.0329
  3  0.0174
  4  0.0118
  5  0.0094
  6  0.0084
  7  0.0082
  8  0.0085
UNIX> 
Let's try it out:
UNIX> sh
sh-3.2$ for i in 1 2 3 4 5 6 7 8 ; do
> BF-tester 1 1024 5000 75 100000 800000 $i 0
> done
N:      79997.   False_positives:       3735.   Rate:  0.046689
N:      79997.   False_positives:        898.   Rate:  0.011225
N:      79997.   False_positives:        356.   Rate:  0.004450
N:      79997.   False_positives:        225.   Rate:  0.002813
N:      79997.   False_positives:        155.   Rate:  0.001938
N:      79997.   False_positives:        131.   Rate:  0.001638
N:      79997.   False_positives:        124.   Rate:  0.001550
N:      79997.   False_positives:        106.   Rate:  0.001325
sh-3.2$ exit
UNIX>
Well, that seems to be better than theory, doesn't it? This vexed me for quite a while, until I realized that the theory is for a Bloom Filter that already has n elements. I am incrementally filling the Bloom Filter, which means that each time I add an element to the Bloom Filter, my rate changes.

So, let's copy findk.c to findinck.c and have it average the rates for every value of i from 0 to n-1. Now, theory matches practice!!

UNIX> findinck 80000 800000
  1  0.0484
  2  0.0115
  3  0.0048
  4  0.0027
  5  0.0019
  6  0.0015
  7  0.0013
  8  0.0013
  9  0.0013
UNIX> 
I love it when it works. Chances are no student has read this far, but if you have, you should know that I had three different bugs in my BF-tester that cost me about 3 hours to find and fix, and the only reason that I knew to look for them was that the theory wasn't matching practice. Take that as a lesson in double-checking your code, because had I not double-checked with theory, I would have assumed it worked (my bugs made the Bloom Filter not work well -- one produced bad hashes from the MD5 hash, and the other was a bit arithmetic bug which made the Bloom Filter less efficient).