CS140 -- Final Exam: Questions 4 - 8

December 15, 1998


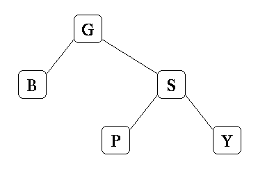
Behold the following binary tree.


Question 4 (2 points)

Assume that this is a standard binary search tree (sorted lexicographically). Draw the tree that will result when you insert R into this tree.

Question 5 (4 points)

Assume that the tree pictured above is an AVL tree. Draw the AVL tree that will result when you insert R into this tree.

Question 6 (4 points)

Assume that the tree pictured above is an AVL tree. Draw the AVL tree that will result when you insert T into this tree.

Question 7 (4 points)

Assume that the tree pictured above is an splay tree. Draw the splay tree that will result when you insert R into this tree.

Question 8 (4 points)

Assume that the tree pictured above is an splay tree. Draw the splay tree that will result when you insert A into this tree.