Questions 1-3:
CS140 Final Exam: May 10, 1999

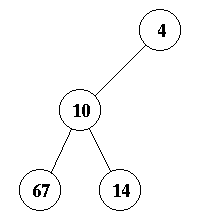
The following trees are for questions 1-3. Use the answer sheet.

(a)

(b)


(c)


(d)


(e)


(f)
Question 1: Circle the letters (on the answer sheet!) of all of the trees that are binary search trees.

Question 2: Circle the letters of all of the trees that are AVL trees.

Question 3: Circle the letters of all of the trees that are heaps.