CS140 -- Final Exam. December 10, 2008 - Answers & Grading
Question 1 - 7 points
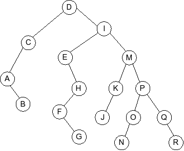
Part 1: You have to split the first external node into two nodes.
This would put an extra link coming from the root node, which means
that it too must be split. Here's the result:
Some of you simply shifted the 9 into the next external node. While that
results in a correct B-tree, and it is an optimization, that is not the
basic B-Tree operation.
Part 2: The point of B-trees is to store data on disk. For them
to work efficiently, nodes should all fit within one disk block, which is
a fixed size. Internal nodes hold keys and links. External nodes hold
keys and data. Therefore, a different number
of keys/links than keys/data may fit into a single disk block. This means
that different values of M may be required for internal and external nodes.
Grading
- Part 1: Splitting the external node: 1 point
- Part 1: Getting the external keys right: 1 point
- Part 1: Splitting the internal node: 1 point
- Part 1: Getting the internal keys right: 2 points
- Part 2: 3 points, allocated to how coherent and correct
I thought your answer was.
Question 2 - 7 points
Part 1: "Teachers" has a hash value of 47, so it should go into index 47%16 = 15.
Since there is a value already there, we try index 0. There is a value there, and in
indoces 1 and 2, so we put "Teachers" into index 3. "Critics" has a hash value of
170, so it should go into index 170%16 = 10. There is a value there, but not in index
11, so it should go there. The answer:
Part 2: Try to insert something with a hash value of 1. That index
is occupied, so you try index 1+1*1 = 2. That's occupied, so you now try
index 1+2*2 = 5. Also occupied, so you try index 1+3*3 = 10. That's
occupied too, so now you try 1+4*4 = 17, which equals 1 mod 16. Hmmmm.
1+5*5 = 26%16 = 10. 1+6*6 = 37%16 = 5. 1+7*7 = 50%16 = 2. You will
keep getting this cycle, over and over, and you will never be able to
put the value into the hash table, even though it is largely empty. To
fix this, change your table size to be prime. Then you have no problems.
Extra Credit: This is from Devo's classic song "Jocko Homo," from
the album "Q: Are We Not Men? A: We Are Devo!" 0.5 points.

I always enjoy seeing the guesses that y'all make. Those of you who study from
past exams figured that 70's prog rock bands are a good guess, and in general
you're right, but not here. Here were your guesses:
- Pink Floyd. Five students guessed this. I'm guessing it's that "Brick in the Wall" song, which does
feature the word "Teachers". Had I gone for Pink Floyd, I would have mined "Have
a Cigar," with its excellently acerbic wit.
- King Crimson. Two students guessed this. Had I used King Crimson, I would have definitely mined
"21st Century Schizoid Man", with lines like "Innocence raped with Napalm fire."
- David Bowie. My high school girlfriend was in love with David Bowie. Therefore,
I hate him, and would never use him for lyrics. Of course, you couldn't have known
that..
- The Who. Not a bad guess, as Pete Townshend could get a little pedantic with his
lyrics.
- Bjork?
- The Beatles.
- John Lennon.
- Scrantonicity.
- Jocko Pin - I always admire a good guess.
- One of the many artists in the files from Lab C. Correct, albeit imprecise.
- Celine Dion and Michael Bolton on their joint album called 'Crap-tastic.' I'm still laughing
as I'm typing.
- An obscure 70's band no one but Dr. Plank likes!!! Or possibly the theme to Neopets.
Devo obscure???? I think not!!!!! That said, "Jocko Homo" was released in 1978...
Grading
- Part 1: Teachers: 2 points
- Part 1: Critics: 2 points
- Part 2: Coming up with the pathelogical example: 2 points
- Part 2: Fixing the problem: 1 point. If you said make the table
bigger, you only got 0.25 points.
Question 3 - 6 points
f(x), g(x) and h(x) are all equivalent from a big-O perspective, because they
increase linearly as x gets large. Therefore, A, B, D, E, G and H are all true.
The last function, j(x), has a maximum value of three. Unlike the others, it does not
go to infinity as x grows. Therefore, it is a smaller function than the others.
Since smaller functions are big-O of bigger functions, this means that J, K and L are true
too. So the answer is A, B, D, E, G, H, J, K and L.
Grading
You got 0.5 points for assigning each potential answer correctly. Since there are 12
potential answers, that's a total of 6 points.
Question 4 - 2 points
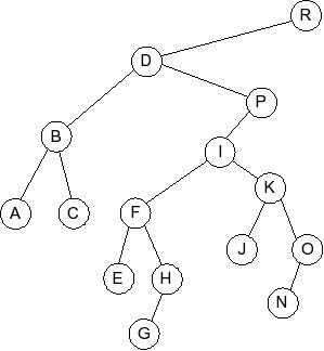
When D is first inserted into the splay tree, it gets put as the right child of C:
It now must be splayed. It is in a zig-zag position, so you perform a double rotation
about it:
Since its parent is the root node, you now need to perform a single rotation. Here is
the answer (answer I):
Grading
Two points for I. Half a point for A, D or E.
Question 5 - 3 points
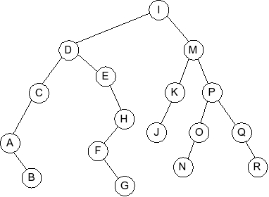
When R is first inserted into the splay tree, it gets put as the right child of P:
It now must be splayed. It is in a zig-zig position, so you rotate about P, and
then about R:
Since its parent is the root node, you now need to perform a single rotation. Here is
the answer (answer H):
Grading
Two points for H. Half a point for B, D, F or I.
Question 6 - 3 points
When G is first inserted into the AVL tree, it gets put as the left child of H:
Now we move to the root, trying to find a height imbalance. There is no imbalance
at H, F or D, but there is at the root. This is solved
by a double-rotation about F The answer is therefore I:
Grading
Two points for I. No points for the others.
Question 7 - 7 points
Parts A-C: To perform disjoint_find(), you chase the links until
you get to a node whose link field is -1. Therefore:
- disjoint_find(dj, 0) will return 4.
- disjoint_find(dj, 1) will return 1.
- disjoint_find(dj, 2) will return 4.
- disjoint_find(dj, 4) will return 4.
Therefore, the answers will be no, yes and yes.
For Part D, we want to either make links[4] = 7 or
links[7] = 4, and we want to update ranks and sizes
accordingly. Since we are doing "union by rank", we make the one with the
smaller rank the child of the one with the higher rank. Therefore,
links[7] is set to 4. We need to update sizes[4] to be
(sizes[4]+sizes[7]), so sizes[4] is set to 6.
We don't need to update ranks[4] because it is greater than ranks[7].
Finally, we need to decrement nsets.
Grading
One point for each of parts A, B and C. Part D: 1 point for setting links[7] to 4,
one point for setting sizes[4] to 6, 1 point for decrementing nsets
and 1 points for doing nothing else. You got a half a point if you made 7 the parent instead of 4.
Question 8 - 4 points
My apologies for the problems some of you had understanding the problem.
I wanted a recursive enumeration and not a program that read standard input
(I would have said "lines on standard input" if that's what I meant). Regardless, I should
have given an example. Here's the answer (in q8.c).
I've reduced the point value of this one because of the confusion, but if you answered
the other problem correctly, you received full credit.
#include <stdio.h>
#include <stdlib.h>
void enum_strings(char *s, int a, int b, int start)
{
if (a == 0 && b == 0) {
s[start] == '\0';
printf("%s\n", s);
return;
}
if (a > 0) {
s[start] = 'A';
enum_strings(s, a-1, b, start+1);
}
if (b > 0) {
s[start] = 'B';
enum_strings(s, a, b-1, start+1);
}
}
main(int argc, char **argv)
{
char *s;
int a, b;
if (argc != 3 || sscanf(argv[1], "%d", &a) == 0 ||
sscanf(argv[1], "%d", &b) == 0 ||
a < 0 || b < 0) {
fprintf(stderr, "usage: q8 a b\n");
exit(1);
}
s = (char *) malloc(sizeof(char) * (a + b + 1));
enum_strings(s, a, b, 0);
}
|
Grading
- Parsing the command line arguments: 1 point
- Getting the rest of the details right: 3 points
Question 9 - 5 points
This is a very straightforward recursive tree traversal.
int tree_size(Node *n)
{
int size;
size = 1;
for (i = 0; i < n->nchildren; i++) size += tree_size(n->children[i]);
return size;
}
|
Grading
This one is pretty much hit or miss. You got points according to how well
I thought your solution was on mark.