CS202 Final Exam - May 11, 2023

James S Plank

The exam was given on Canvas, and a few questions used banks. Here is an example exam that you would have gotten on Canvas.


Question 1 (0 points)

Please enter your UTK username/netid (for example, mine is jplank). ____________

Question 2 (0 points)

If you feel as though you need to send me some prose, to explain an answer or otherwise, please do it here, instead of trying to shoehorn it into the answer space for the answer. Please feel free to leave this blank.

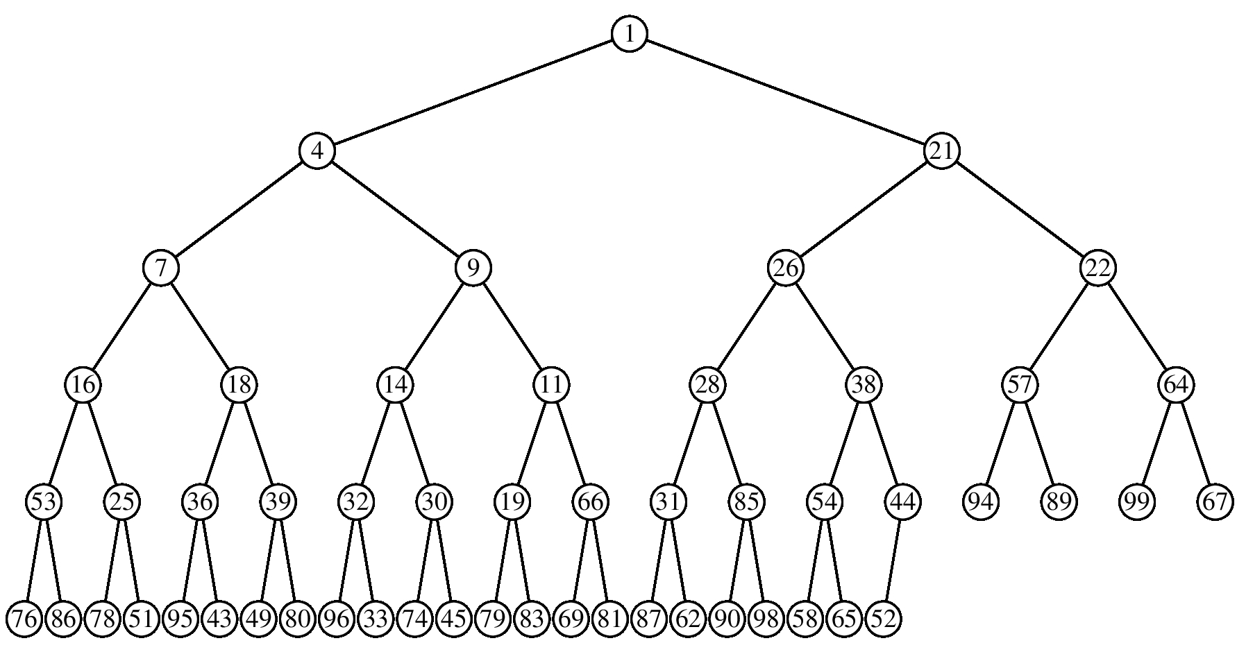
Question 3 (18 points)

Behold the following heap (click to enlarge the picture):

Suppose I call Push(36) on this heap.

What will the index of 36 be in the vector after the Push? ___________
What will the last value of the vector be, after the Push? ___________


Behold the following heap in vector form:

Suppose I call Pop() on this heap.

What will the index of 33 be in the vector after the Pop? __________
What will the first value of the vector be, after the Pop? __________


Here are the nodes of a binary search tree. For each node, I print the key of the node, and the keys of its two children. If a child is NULL, we print its key as "---". The root of the tree is SGV.
GFD  L:---  R:---
GIY  L:GFD  R:---
HAB  L:GIY  R:LPH
JRC  L:---  R:---
LPH  L:JRC  R:---
PCW  L:HAB  R:PYB
PYB  L:---  R:RLB
RBS  L:---  R:---
RLB  L:RBS  R:RQH
RQH  L:---  R:---
SGV  L:PCW  R:YUA
STD  L:---  R:WVL
WVL  L:---  R:XYN
XYN  L:---  R:---
YUA  L:STD  R:---
Suppose I insert LFN. What will be the key of its parent node? (Use "---" if the new node is the root) ___________
It is its parent's left child, right child, or neither (if it's the root). Please enter L, R or ---. ___________
Here are the nodes of another binary search tree. The root of the tree is ILD.
BYR  L:---  R:CCX
CCX  L:---  R:CFT
CFT  L:---  R:EIN
EIN  L:---  R:GOX
GOX  L:---  R:---
ILD  L:BYR  R:RKO
JAZ  L:---  R:---
LOZ  L:JAZ  R:---
PIB  L:LOZ  R:---
RKO  L:PIB  R:WZV
TGH  L:---  R:VRU
VRU  L:---  R:WHA
WHA  L:---  R:---
WZV  L:TGH  R:XPQ
XPQ  L:---  R:---
Suppose I delete the root. What will be the key of the new root? ___________


Question 4 (10 points)

I have the following class definition in an include file:

#include <vector>

class Fred {
  public:
    Fred();
    ~Fred();
    Fred(const Fred &f);
    Fred& operator= (const Fred &f);
    // More stuff that does't matter.
  protected
    std::vector <int> *v;
};

And the following implementation of the constructor and destructor:

#include <vector>
using namespace std;

Fred::Fred()
{
  v = new vector <int>;
}
  
Fred::~Fred()
{
  delete v;
}

Please implement the copy constructor and assignment overload.


Question 5 (24 points)

  1. A vector starts with n2 elements. What is the running time of calling push_back() 2n times on the vector? ________

  2. A deque starts with 0 elements. What is the running time of calling push_front() n times on the deque? ________

  3. I want to store n integers. Then, I will read n integers from standard input, and for each integer, print whether or not I have stored that integer. What is the running time of my best implementation? ________

  4. Assume that m < n. I have n integers whose values are between -m and m. What is the running time of storing those n integers in a set? ________

  5. Assume that m < n. I have n integers whose values are between -m and m. What is the running time of storing those n integers in a multiset? ________

  6. A binary search tree starts with n integers. Assume that m < n. What is the running time of deleting m of those integers? ________

  7. An AVL tree starts with n integers. What is the running time of finding m integers that may or may not be in the AVL tree? ________

  8. I have a map with n elements. What is the running time of deleting the smallest n/2 elements? ________

  9. I have a list with n integers, which is already sorted, and n is an odd number. What is the running time of finding the median of the list? ________

  10. I have a vector with n integers, which is already sorted, and n is an odd number. What is the running time of finding the median of the vector? ________

  11. Assume that m < n. Suppose I have a list of n integers whose values are between -m and m, and I want to return an iterator to any integer on the list that is between m-100 and m (or end() if there is no such element). What is the running time of performing this action? ________

  12. Suppose I have a map with n elements. The keys are integers and the vals are doubles. What is the running time of creating a vector of the keys, sorted from high to low? ________

  13. Suppose I have an unordered_set with n doubles. What is the running time of creating a vector of these values, sorted from low to high? ________

  14. What is the running time of performing a postorder traversal on an AVL tree with n elements? ________

  15. In the following, s is a string of size n, and v is an empty vector of strings. What is the running time of this loop:

    for (i = 0; i < s.size(); i++) v.push_back(s.substr(i));
    (In case you've forgotten, s.substr(i) returns the substring of s starting with the character at index i and going to the end of the string). ________

  16. Suppose s is a string composed of n characters whose values are either 'a' or 'b'. And suppose v is an empty vector or strings. And finally suppose m is a positive integer. What is the running time overhead of v.resize(m, s)? ________


Question 6 (18 points)

We are working with the code in the AVL tree lab, and we've written a procedure that prints a given node of the tree:

void print(const AVLNode *n, bool print_height)
{
  cout << n->key;
  cout << "  L:" << n->left->key ;
  cout << "  R:" << n->right->key ;
  cout << "  P:" << n->parent->key ;
  if (print_height) cout << "  H:" << n->height;
  cout << endl;
}
Let's demonstrate the print() procedure. Here's a tree:

       J
      / \
     /   \
    I     M    
Suppose a points to the node whose key is "J". Then calling print(a, true) prints:

J  L:I  R:M  P:---  H:2

And suppose b points to the node whose key is "I". Then calling print(b, true) prints:

I  L:---  R:---  P:J  H:1

Please answer the following questions:


Part A

We've done an insertion, and while rebalancing, we've discovered that a node is imbalanced. Here is the output of calling print(), first on the imbalanced node (which is why I don't print its height), and two other nodes:

DBQ  L:---  R:JLB  P:AWD  H:2
AWD  L:---  R:DBQ  P:---
JLB  L:---  R:---  P:DBQ  H:1

After rebalancing, suppose a points to the node whose key is AWD.
What is a->left->key? __________
What is a->right->key? __________
What is a->parent->key? __________

Suppose b points to the node whose key is DBQ.
What is b->left->key? __________
What is b->right->key? __________
What is b->parent->key? __________


Part B

This is similar to the previous question. We've done an insertion, and while rebalancing, we've discovered that a node is imbalanced. Here is the output of calling print(), first on the imbalanced node (which is why I don't print its height), and on some other nodes, ordered by their heights:

RGD  L:OTC  R:SIE  P:TND
OTC  L:NTD  R:PRQ  P:RGD  H:10
PRQ  L:PIH  R:QME  P:OTC  H:9
SIE  L:RQS  R:SXX  P:RGD  H:8
NTD  L:NHE  R:OEV  P:OTC  H:8
SXX  L:SQB  R:TFU  P:SIE  H:7
RQS  L:RLL  R:RWS  P:SIE  H:7

To answer the following questions, don't try to draw all of the nodes. That is a waste of time, and it will indeed waste your time. Instead, draw the imbalanced node and its children. Draw the children's heights. When you look at that, you'll figure out a few more nodes to draw, and then you can answer the question.

After rebalancing, suppose a points to the node whose key is RGD.
What is a->left->key? __________
What is a->right->key? __________
What is a->parent->key? __________

Suppose b points to the node whose key is PRQ.
What is b->left->key? __________
What is b->right->key? __________
What is b->parent->key? __________


Part C

We've done a deletion, and discovered an imbalance. The output is like Part B. Please answer it in the same way:

IZY  L:FMS  R:MGK  P:ODB
FMS  L:DIB  R:HQS  P:IZY  H:9
DIB  L:BXK  R:EOC  P:FMS  H:8
MGK  L:KXP  R:NDR  P:IZY  H:7
HQS  L:GQD  R:ICW  P:FMS  H:7
NDR  L:MQU  R:NQA  P:MGK  H:6
KXP  L:KKK  R:LPL  P:MGK  H:6

After rebalancing, suppose a points to the node whose key is IZY.
What is a->left->key? __________
What is a->right->key? __________
What is a->parent->key? __________

Suppose b points to the node whose key is FMS.
What is b->left->key? __________
What is b->right->key? __________
What is b->parent->key? __________


Question 7 (15 points)

I know this is a little bit of an odd way to present a question, but I want you to do the easy things first, and the harder things later.

I want you to read the next question, which asks you to implement some methods. However, before you write that code, come back here and answer the following questions:

A. What kind of tree traversal is set_info()? __________
B. Why do I have to have the "friend" specification in Tree.hpp? Your answer should be one sentence. __________
C. Should I implement a destructor for the Tree class? Please answer yes or no. __________
D. Why? Your answer should be one sentence. __________
For the next three questions, you can answer in hexadecimal if you want. If your answer is in hex, please put "0x" in the front of the number. Suppose my tree is the following:

   0
  /|\
 / | \
4  8  3
  / \
 5   7
     |
     9
E. What is the value of the info field for node 0? __________
F. What is the value of the info field for node 8? __________
G. What is the value of the info field for node 9? __________
H. Suppose that each node of my tree has at most four children. What's the minimum height of a tree that will cause overflow in set_info()? __________

Question 8 (15 points)

I have the following class definitions in Tree.hpp:
#include <vector>
#include <deque>
#include <list>
#include <set>
#include <map>
#include <unordered_set>
#include <unordered_map>
#include <iostream>
using namespace std;

class TreeNode {
  friend class Tree;
  public:
    TreeNode(int my_id);
    void Print() const;
  protected:
    int id;
    long long info;
    vector <TreeNode *> children;
};

class Tree {
  public:
    Tree();
    void Print() const;
  protected:
    void read_from_stdin();
    void set_info(TreeNode *t, int parents_info);
    void print(const TreeNode *t, int level) const;
    TreeNode *root;
};
This class defines a tree, where nodes hold two values, an id and a number called info. The root's id will be zero, and all other node id's are unique integers.

You read a tree from standard input using the read_from_stdin() method. The format of standard input should be pairs of integers. The first integer in a pair is a node's id. The second is the node's parent's id. These can be given in any order, so, for example, the following tree:

   0
  /|\
 / | \
4  8  3
   |
   5
can be represented on standard input by:
4 0
8 0
3 0
5 8
or
3 0 5 8 4 0 8 0
The set_info() method is initially called on the root of the tree after read_from_stdin() is called. set_info() sets the info fields of all of the nodes. The Print() method of the Tree() class should perform a postorder traversal of the tree, indenting each node's line by two times the level of the node (the root is level zero), and then calling the node's Print() method.

I know that's a mouthful. Now, in Tree.cpp, I have implemented the following things:

I haven't implemented read_from_stdin() or the protected print() method for Trees. That's your job. Do it below, please. Your code is going to go at the end of Tree.cpp.

You may assume that standard input is in the proper format, so you do not have to do any error checking. That simplifies your life greatly, so please take advantage of it!

But before you do so, here's what I have written for Tree.cpp:

#include "Tree.hpp"
using namespace std;

TreeNode::TreeNode(int my_id)
{
  id = my_id;
  info = -1;
}

void TreeNode::Print() const
{
  printf("%d 0x%llx\n", id, info);
}

Tree::Tree()
{
  root = NULL;
  read_from_stdin();
  set_info(root, 0);
}

void Tree::set_info(TreeNode *t, int pinfo)
{
  size_t i;

  t->info = (pinfo * 2) + t->children.size();

  for (i = 0; i < t->children.size(); i++) {
    set_info(t->children[i], t->info);
  }
}

void Tree::Print() const 
{
  print(root, 0);
}
And here's a really simple Test_Main.cpp that we'll use for testing:
#include "Tree.hpp"
using namespace std;

int main()
{
  Tree t;

  t.Print();
  return 0;
}
Before I set you loose, let's look at the output of the program on the example tree that I showed above:
UNIX> g++ Tree_Main.cpp Tree.cpp
UNIX> echo 3 0 5 8 4 0 8 0 | ./a.out
  3 0xc
  4 0xc
    5 0x34
  8 0xd
0 0x3
UNIX>
Below, implement read_from_stdin() and print(). You'll note, in Tree.hpp, I have included all of the STL data structures that you can use.